|
Sorbaállás
Szolgáltatásoknál igen gyakori a sorbaállás. Ezt a
problémakört kezeli a következő modell.
Sorbaállás
fogalmai:

Érkezési sebesség (arrival rate), Ri
Egységnyi idő alatt érkező vásárlók száma, (pl.
vásárló/óra)
Érkezések közötti idő (interarrival time)
Átlagos érkezési sebesség inverze: 1 / Ri
Szerviz vagy feldolgozási idő (service or processing time), Tp
Folyamatban a vásárló által eltöltött átlagos idő
Szolgáltatás sebessége (service rate), R
Folyamatidő reciproka: 1/Tp . Időegység alatt
kiszolgált vásárlók átlagos
száma (az-az a feldolgozás sebessége).
Szolgáltató (forrás, resource), c
Aki a szolgáltatást végzi, számukat c-val jelzik
Folyamatkapacitás (processing capacity), Rp
Az a maximális és tartható folyamatsebesség, amelynél a
szolgáltató minden
(forrás-) egysége teljesen le van terhelve: Rp = c / Tp
Kapacitás-felhasználás (capacity utilization), p
Folyamatsebesség és a folyamatkapacitás hányadosa: p =
R / Rp
Biztonsági kapacitás (safety capacity), Rs
Különbség a folyamatkapacitás és az átlagos érkezési
sebesség között
Rs = Rp - Ri
Sorbaállást a véletlen
befolyásolja:

Érkezések sorrendje, szolgáltatás ideje, sorbaállás (készlet)
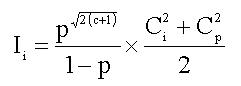
Hopp/Spearman képlet a sorbaállás átlagos hosszúságára:

Ahol Ii - Átlagos sorbaállás
hosszúsága (bemenő készlet) p
- Kapacitás-felhasználás c
- Szolgáltatók (forrásegységek) száma
Ci - Az érkezések közötti idő variációs együtthatója
Cp -Feldolgozási idő variációs együtthatója
(Variációs együttható: szórás / átlag)
Késleltetési ábra
Példa sorbaállásra
Telefonos szolgálathoz egymás után érkeznek hívások Elemezzük a folyamatot
sorbaállás szemszögéből.

Operátorok száma: 1
Hívások érkezési sebessége: Ri = 20 db/óra = 1/3 db/perc
Feldolgozási idő: Tp = 2,5 perc
Feldolgozási kapacitás: Rp = 1/Tp = 24 db/óra
Folyamatsebesség: R = 20 db/óra
Kapacitás-felhasználás: p = Ri/Rp = 20/24 = 0,83
Exponeneciális változékonyság esetén: Ci = Cp = 1
Átlagos sorbaállási hosszúság:
Ii = p2/(1-p) = 4,167 db
Feldolgozás alatti hívások átlagos száma:
Ip = RxTp = (1/3)x2,5 = 0,833 db
Folyamatban lévő összes hívás: I = Ii + Ip = 5 db
Folyamatidő: T = I/R= 5 / (1/3) = 15 perc
Várakozási idő: Ti = Ii/R = 4,167/(1/3) = 12,5 perc
Várakozási költség : 2 Eur/perc = 120 Eur/óra
Várakozás átlagos költsége:
120 x Ii = 500 Eur/óra
Operátor óránkénti felhasználása: 20 Eur
Teljes költség: 500 + 20 = 520 Eur/óra
Biztonsági kapacitás:
Rs = Rp – Ri = 24 – 20 =4 hívás/óra
|